Langsung ke konten utama

43 matlab label subscript

Writing subscript superscript in label on axis in MATLAB Simulink ... In this matlab simulink, shown how to write subscript and superscript in axis label. How can I create axis labels with subscripts and greek letters? uistack() to move the relative drawing order of the objects; or set the mean line to have a slightly positive Z component so that it is above the shaded area; or; set alphadata on the shaded area so that the line is visible through it.

nl.mathworks.com › help › matlab2-D line plot - MATLAB plot - MathWorks Benelux Starting in R2019b, you can display a tiling of plots using the tiledlayout and nexttile functions. Call the tiledlayout function to create a 2-by-1 tiled chart layout. Call the nexttile function to create an axes object and return the object as ax1.

Matlab label subscript

Matlab label subscript

de.mathworks.com › help › matlab2-D line plot - MATLAB plot - MathWorks Deutschland Starting in R2019b, you can display a tiling of plots using the tiledlayout and nexttile functions. Call the tiledlayout function to create a 2-by-1 tiled chart layout. Call the nexttile function to create an axes object and return the object as ax1. › help › matlabChart line appearance and behavior - MATLAB - MathWorks MATLAB evaluates the variable in the base workspace to generate the YData. By default, there is no linked variable so the value is an empty character vector, ''. If you link a variable, then MATLAB does not update the YData values immediately. To force an update of the data values, use the refreshdata function. Scatter plot - MATLAB scatter - MathWorks Deutschland Since R2021b. A convenient way to plot data from a table is to pass the table to the scatter function and specify the variables you want to plot. For example, read patients.xls as a table tbl.Plot the relationship between the Systolic and Diastolic variables by passing tbl as the first argument to the scatter function followed by the variable names. Notice that the axis labels …

Matlab label subscript. Colorbar appearance and behavior - MATLAB - MathWorks By default, the colorbar labels the tick marks with numeric values. If you specify labels and do not specify enough labels for all the tick marks, then MATLAB ® cycles through the labels. If you specify this property as a categorical array, MATLAB uses the values in the array, not the categories. Example: {'cold','warm','hot'} Matlab plot text with subscript character - MATLAB Answers - MATLAB Central Matlab plot text with subscript character. Learn more about matlab text subscript issue MATLAB How can I create axis labels with subscripts and greek letters? uistack() to move the relative drawing order of the objects; or set the mean line to have a slightly positive Z component so that it is above the shaded area; or; set alphadata on the shaded area so that the line is visible through it. how to write superscripts in axis labels? - MATLAB Answers - MATLAB Central Learn more about superscript in labels . Skip to content. Toggle Main Navigation. ... To get a subscript you must use the underscore "_" character and for superscript use "^". For example: plot(1:10) ... Find the treasures in MATLAB Central and discover how the community can help you! Start Hunting!

› indexOrigin: Data Analysis and Graphing Software Major and minor ticks can be set by increment, counts, from a dataset, from column label row, or at user-specified positions; Multiple Special Ticks with detailed tick and label formatting for each tick; Leader lines for special ticks; Axis Lines and Grid Lines. Independent control axis line, major ticks and minor ticks. how to write superscripts in axis labels? - MATLAB Answers - MATLAB Central Learn more about superscript in labels . Skip to content. Toggle Main Navigation. ... To get a subscript you must use the underscore "_" character and for superscript use "^". For example: plot(1:10) ... Find the treasures in MATLAB Central and discover how the community can help you! Start Hunting! EOF Dirac Notation for Vectors and Tensors (Neuenschwander's text ... Sep 29, 2022 · I am reading Tensor Calculus for Physics by Dwight E. Neuenschwander and am having difficulties in confidently interpreting his use of Dirac Notation in Section 1.9 ... in Section 1.9 we read the following: I need some help to confidently interpret and proceed with Neuenschwander's...

Labels and Annotations - MATLAB & Simulink - MathWorks Add a title, label the axes, or add annotations to a graph to help convey important information. You can create a legend to label plotted data series or add descriptive text next to data points. Also, you can create annotations such as rectangles, ellipses, arrows, vertical lines, or horizontal lines that highlight specific areas of data. Matlab figure axis label puts subscript text in math mode Teams. QA for work. Connect and share knowledge within a single location that is structured and easy to search. Learn more about Teams Matlab plot text with subscript character - MathWorks The subscript text contains two numeric or alphanumeric characters. Using '_', it does only first character as in attached figure. However I want all characters after '_' to be subscript. I did not find any clues and or right answers to previous answers. I also tried either of following code. None of them worked. timescale = 14; How to write text in subscript in the axis labels and the legend using ... To write text in subscript in the axis labels and the legend, we can take the following steps −. Create x and y data points using NumPy. Plot x and y data points with a super subscript texts label. Use xlabel and ylabel with subscripts in the text. Use the legend () method to place a legend in the plot. Adjust the padding between and around ...

Text Properties (MATLAB Functions)

Text Properties (MATLAB Functions)

Chart line appearance and behavior - MATLAB - MathWorks MATLAB uses the number to calculate indices for assigning color, line style, or markers when you call plotting functions. ... A vartype subscript that selects a table variable of a specified type. The subscript must refer to only one variable. ... Legend label, specified as a …

School-Based Weather Station Network -- See a Single Variable ...

School-Based Weather Station Network -- See a Single Variable ...

2-D line plot - MATLAB plot - MathWorks Deutschland Starting in R2019b, you can display a tiling of plots using the tiledlayout and nexttile functions. Call the tiledlayout function to create a 2-by-1 tiled chart layout. Call the nexttile function to create an axes object and return the object as ax1.Create the top plot by passing ax1 to the plot function. Add a title and y-axis label to the plot by passing the axes to the title and ylabel ...

An Introduction to MATLAB: Basic Operations

An Introduction to MATLAB: Basic Operations

Axis labels - subscripts not working - MATLAB Answers - MATLAB Central Given the additional info from the series of comments below, the workaround to your problem seemingly caused by Simulink being overly aggressive in its setting of MATLAB default graphics parameters is to use the explicit named parameter when calling x/ylabel ylabel ('ΔP_G [pu]','Interpreter','tex') etc., SHOULD do it.

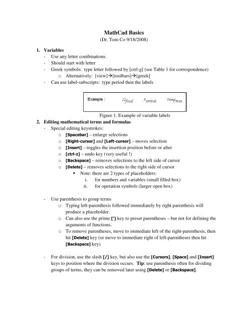
MathCad Basics

MathCad Basics

Swarm scatter chart - MATLAB swarmchart - MathWorks Read the BicycleCounts.csv data set into a timetable called tbl.Create a vector x with the day name for each observation, another vector y with the bicycle traffic observed, and a third vector c with the hour of the day. Then create a swarm chart of x and y, and specify the marker size as 5, and the colors of the markers as vector c.Call the swarmchart function with the return …

Two-year clinical outcomes of autologous microfragmented ...

Two-year clinical outcomes of autologous microfragmented ...

Control label appearance - MATLAB - MathWorks Label Properties. Labels are UI components that contain static text for labelling parts of an app. Properties control the appearance and behavior of a label. Use dot notation to refer to a specific object and property. fig = uifigure; tlabel = uilabel (fig); tlabel.Text = 'Options';

Simple early stopping rules in machine learning

Simple early stopping rules in machine learning

› help › matlabColorbar showing color scale - MATLAB colorbar - MathWorks By default, the colorbar labels the tick marks with numeric values. If you specify labels and do not specify enough labels for all the tick marks, then MATLAB cycles through the labels. If you specify this property as a categorical array, MATLAB uses the values in the array, not the categories. Example: {'cold','warm','hot'}

Visualization and image analysis of droplet puffing and micro ...

Visualization and image analysis of droplet puffing and micro ...

Label y-axis - MATLAB ylabel - MathWorks By default, MATLAB supports a subset of TeX markup. Use TeX markup to add superscripts and subscripts, modify the font type and color, and include special characters in the text. Modifiers remain in effect until the end of the text.

How to use superscript with ggplot2 in R? - GeeksforGeeks

How to use superscript with ggplot2 in R? - GeeksforGeeks

Matlab plot text with subscript character - MATLAB Answers - MATLAB Central The subscript text contains two numeric or alphanumeric characters. Using '_', it does only first character as in attached figure. However I want all characters after '_' to be subscript. I did not find any clues and or right answers to previous answers. I also tried either of following code. None of them worked. Theme timescale = 14;

Demo codes for Chart::Gnuplot

Demo codes for Chart::Gnuplot

Origin: Data Analysis and Graphing Software Origin is the data analysis and graphing software of choice for over half a million scientists and engineers in commercial industries, academia, and government laboratories worldwide. Origin offers an easy-to-use interface for beginners, combined with the ability to perform advanced customization as you become more familiar with the application.

Writing subscript superscript in label on axis in MATLAB ...

Writing subscript superscript in label on axis in MATLAB ...

de.mathworks.com › help › matlabScatter plot - MATLAB scatter - MathWorks Deutschland Since R2021b. One way to plot data from a table and customize the colors and marker sizes is to set the ColorVariable and SizeData properties. You can set these properties as name-value arguments when you call the scatter function, or you can set them on the Scatter object later.

Answered: 2.14 The resistances and leakage… | bartleby

Answered: 2.14 The resistances and leakage… | bartleby

Matlab plot text with subscript character - MathWorks Matlab plot text with subscript character. Dear all, I have been trying to display x label text with subscript. The subscript text contains two numeric or alphanumeric characters. Using '_', it does only first character as in attached figure. However I want all characters after '_' to be subscript. I did not find any clues and or right answers ...

Stress relaxation in tunable gels - Soft Matter (RSC ...

Stress relaxation in tunable gels - Soft Matter (RSC ...

How to edit plot using a MATLAB script - YouTube In this video, we will see how to edit a MATLAB plot using the script. We will learn how to put a title, x and y-axis labels, subscript, superscript and math...

RPubs - Subscript superscript

RPubs - Subscript superscript

Colorbar showing color scale - MATLAB colorbar - MathWorks By default, the colorbar labels the tick marks with numeric values. If you specify labels and do not specify enough labels for all the tick marks, then MATLAB cycles through the labels. If you specify this property as a categorical array, MATLAB uses the values in the array, not the categories. Example: {'cold','warm','hot'}

OPERA-LG: Efficient and exact scaffolding of large, repeat ...

OPERA-LG: Efficient and exact scaffolding of large, repeat ...

Label y-axis - MATLAB ylabel - MathWorks Switzerland ylabel (txt) labels the y -axis of the current axes or standalone visualization. Reissuing the ylabel command causes the new label to replace the old label. ylabel (target,txt) adds the label to the specified target object. example. ylabel ( ___,Name,Value) modifies the label appearance using one or more name-value pair arguments.

How to use Symbols Greek Characters in Matlab Plot

How to use Symbols Greek Characters in Matlab Plot

2-D line plot - MATLAB plot - MathWorks Benelux Starting in R2019b, you can display a tiling of plots using the tiledlayout and nexttile functions. Call the tiledlayout function to create a 2-by-1 tiled chart layout. Call the nexttile function to create an axes object and return the object as ax1.Create the top plot by passing ax1 to the plot function. Add a title and y-axis label to the plot by passing the axes to the title and ylabel ...

Chapter 8 ARRAYS. 2 Array subscript expressions  Each ...

Chapter 8 ARRAYS. 2 Array subscript expressions  Each ...

› help › matlabSwarm scatter chart - MATLAB swarmchart - MathWorks swarmchart(x,y) displays a swarm chart, which is a scatter plot with the points offset (jittered) in the x-dimension.The points form distinct shapes, and the outline of each shape is similar to a violin plot.

Greek Letters and Special Characters in Chart Text - MATLAB ...

Greek Letters and Special Characters in Chart Text - MATLAB ...

Scatter chart in polar coordinates - MATLAB polarscatter A vartype subscript that selects a table variable of a specified type. The subscript must refer to only one variable. ... the underscore appears in the legend label. In R2022a and earlier releases, the underscore is interpreted as a subscript. Release Label for Table ... Run the command by entering it in the MATLAB Command Window.

Plotting graphs — MATLAB documentation

Plotting graphs — MATLAB documentation

Scatter plot - MATLAB scatter - MathWorks Deutschland Since R2021b. A convenient way to plot data from a table is to pass the table to the scatter function and specify the variables you want to plot. For example, read patients.xls as a table tbl.Plot the relationship between the Systolic and Diastolic variables by passing tbl as the first argument to the scatter function followed by the variable names. Notice that the axis labels …

Text Properties (MATLAB Functions)

Text Properties (MATLAB Functions)

› help › matlabChart line appearance and behavior - MATLAB - MathWorks MATLAB evaluates the variable in the base workspace to generate the YData. By default, there is no linked variable so the value is an empty character vector, ''. If you link a variable, then MATLAB does not update the YData values immediately. To force an update of the data values, use the refreshdata function.

Freeze and bid-ask spread in the sovereign bond market

Freeze and bid-ask spread in the sovereign bond market

de.mathworks.com › help › matlab2-D line plot - MATLAB plot - MathWorks Deutschland Starting in R2019b, you can display a tiling of plots using the tiledlayout and nexttile functions. Call the tiledlayout function to create a 2-by-1 tiled chart layout. Call the nexttile function to create an axes object and return the object as ax1.

Customizing axes tick labels - Undocumented Matlab

Customizing axes tick labels - Undocumented Matlab

Greek Letters and Special Characters in Chart Text - MATLAB ...

Greek Letters and Special Characters in Chart Text - MATLAB ...

Does the change in glutamate to GABA ratio correlate with ...

Does the change in glutamate to GABA ratio correlate with ...

Solved Develop a MATLAB function plot_frame(C. 'label ...

Solved Develop a MATLAB function plot_frame(C. 'label ...

MATLAB

MATLAB

Avoiding biases in binned fits - CERN Document Server

Avoiding biases in binned fits - CERN Document Server

Greek Letters and Special Characters in Chart Text - MATLAB ...

Greek Letters and Special Characters in Chart Text - MATLAB ...

Analisa Rangkaian Listrik Menggunakan MATLAB

Analisa Rangkaian Listrik Menggunakan MATLAB

How to use superscript with ggplot2 in R? - GeeksforGeeks

How to use superscript with ggplot2 in R? - GeeksforGeeks

Matlab plot text with subscript character - MATLAB Answers ...

Matlab plot text with subscript character - MATLAB Answers ...

Adding p values and R squared values to a plot using ...

Adding p values and R squared values to a plot using ...

Help Online - Quick Help - FAQ-154 How do I customize the ...

Help Online - Quick Help - FAQ-154 How do I customize the ...

Introduction to ggtext • ggtext

Introduction to ggtext • ggtext

Cepat Mahir Matlab

Cepat Mahir Matlab

Legend appearance and behavior - MATLAB

Legend appearance and behavior - MATLAB

Text Properties (MATLAB Functions)

Text Properties (MATLAB Functions)

matlab error 'Subscripting into a table using one subscript ...

matlab error 'Subscripting into a table using one subscript ...

LaTeX Basics with Chart Studio

LaTeX Basics with Chart Studio

Formatting Plot: Judul, Label, Range, Teks, dan Legenda ...

Formatting Plot: Judul, Label, Range, Teks, dan Legenda ...

Writing subscript superscript in label on axis in MATLAB ...

Writing subscript superscript in label on axis in MATLAB ...

How do I install MatLab on my personal or university-owned ...

How do I install MatLab on my personal or university-owned ...

Label y-axis - MATLAB ylabel

Label y-axis - MATLAB ylabel

Introduction to ggtext • ggtext

Introduction to ggtext • ggtext

Komentar

Postingan populer dari blog ini

38 red label whisky price in delhi

38 how to reprint a shipping label on ebay

44 correctly label the following anatomical features of the heart and thoracic cage.